Toggle navigation
COR
Home
Publications
Simulations
New Trajectory
Trajectories
Login
Expand all
Collapse all
chevron_right
Input data
Input data that was used for this simulation.
Version: T05
Year: 2015
DOY: 69
Hour: 0
Latitude: 51
Longitude: 280
Latitude direction: -38
Longitude direction: 280
Radius: 1
Rigidity: 5 GV
Runtime: 00:00:01.767
chevron_right
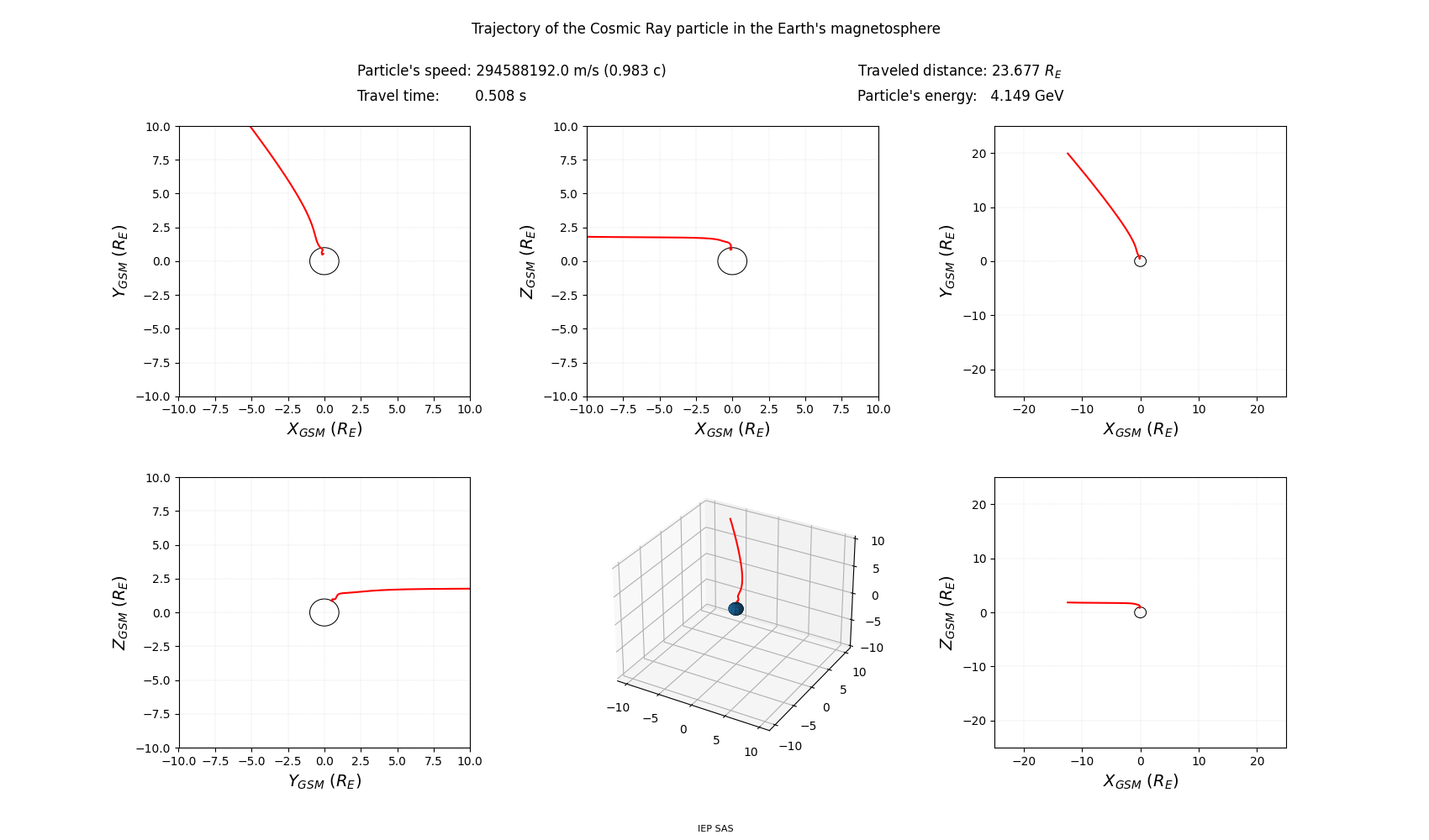
Trajectory of particle
Simulated trajectory of particle.
chevron_right
Input data
Input data that was used for this simulation.
Version: T05
Year: 2015
DOY: 69
Hour: 0
Latitude: 51
Longitude: 280
Latitude direction: -38
Longitude direction: 280
Radius: 1
Rigidity: 5 GV
Runtime: 00:00:01.767
chevron_right
Trajectory of particle
Simulated trajectory of particle.
cloud_download
Download