Toggle navigation
COR
Home
Publications
Simulations
New Trajectory
Trajectories
Login
Expand all
Collapse all
chevron_right
Input data
Input data that was used for this simulation.
Version: T05
Year: 2024
DOY: 132
Hour: 1
Latitude: 40
Longitude: 260
Latitude direction: 40
Longitude direction: 260
Radius: 1
Rigidity: 10 GV
Runtime: 00:00:01.68
chevron_right
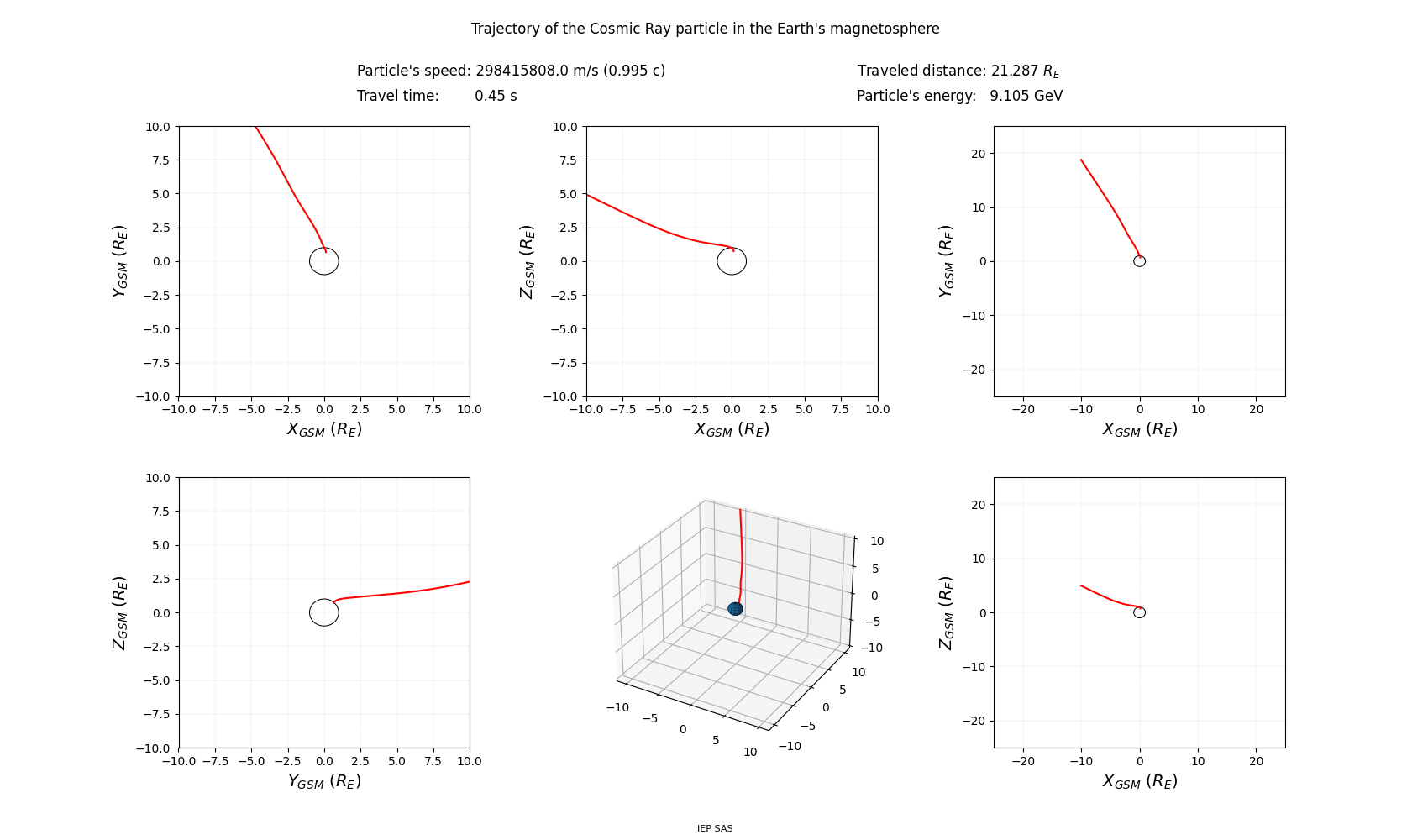
Trajectory of particle
Simulated trajectory of particle.
chevron_right
Input data
Input data that was used for this simulation.
Version: T05
Year: 2024
DOY: 132
Hour: 1
Latitude: 40
Longitude: 260
Latitude direction: 40
Longitude direction: 260
Radius: 1
Rigidity: 10 GV
Runtime: 00:00:01.68
chevron_right
Trajectory of particle
Simulated trajectory of particle.
cloud_download
Download