Toggle navigation
COR
Home
Publications
Simulations
New Trajectory
Trajectories
Login
Expand all
Collapse all
chevron_right
Input data
Input data that was used for this simulation.
Version: IGRF
Year: 2020
DOY: 1
Hour: 0
Latitude: 0
Longitude: 0
Latitude direction: -90
Longitude direction: 333.43
Radius: 1.06
Rigidity: 42 GV
Runtime: 00:00:00.50
chevron_right
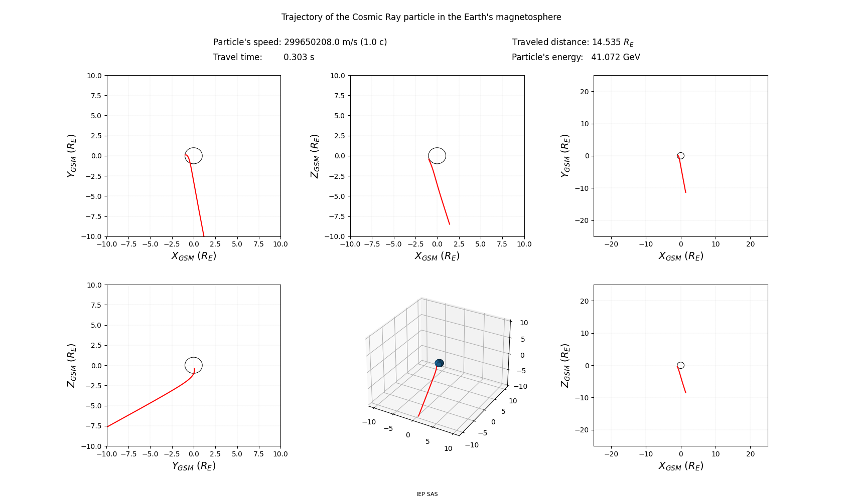
Trajectory of particle
Simulated trajectory of particle.
chevron_right
Input data
Input data that was used for this simulation.
Version: IGRF
Year: 2020
DOY: 1
Hour: 0
Latitude: 0
Longitude: 0
Latitude direction: -90
Longitude direction: 333.43
Radius: 1.06
Rigidity: 42 GV
Runtime: 00:00:00.50
chevron_right
Trajectory of particle
Simulated trajectory of particle.
cloud_download
Download